ГЛАВНАЯ НА ВООРУЖЕНИИ ПЕРСПЕКТИВНЫЕ
РАЗРАБОТКИ
ОГНЕВАЯ МОЩЬ
ЗАЩИТА ПОДВИЖНОСТЬ 

ЭКСКЛЮЗИВНЫЕ МАТЕРИАЛЫ  БИБЛИОТЕКА ФОТООБЗОРЫ
 
 


2. Конструкция ходовой части танка Т-64

Конструция ходовой части харьковского танка  Т-64, в отличии от нижнетагильского Т-72, широко известного за рубежом, практически не знакома зарубежным специалистам. По высказываниям бывшего директора харьковского 115 БТРЗ  В. Ткачука, только после распада СССР танковые эксперты США, через подставные фирмы, смогли  приобрести шесть образцов танка Т-64 и провести его полномасштабные исследования [ 7 ].

Появление первой версии данной статьи на сайте www.btvt.info  показало:  повышенный интерес к танку Т-64 проявлен в странах Южной Америки,  Афрки и Юго-Восточной Азии. Это обстоятельство  заставило авторов статьи  ее переработать с уклоном в описание конструктивных особенностей харьковской машины.

Ходовая часть танка Т-64 и его модификаций была разработана  в конце 50-х годов прошлого века для изделия «430» и экспериментально проверена на ходовом макете в 1960-61 гг. Как и все, что имело отношение к «430», ходовая часть об­ладала новизной. «Нельзя создать новый танк из старых узлов»,- сделал запись в своем дневние А.А. Морозов [5]. К сожалению, смысл сказанного так и не осознали ни руководители, ни конструкторы «Уралвагонзавода», детища харьковского завода №183 военного времени.

Конструкция основных элементов ходовой части Т-64 постоянно совершенствовалась в процессе многолетнего серийного производства и проверялась в ходе длительной войсковой эксплуатации. Это позволило использовать полученные результаты как для глубокой модернизации существующих танков (БМ Булат), так и для разработки боевых машин на их базе.


 

2.1. Гусеница

Гусеница танка Т-64 рис. 5 имеет параллельный резино-металлический шарнир (РМШ) рис. 6, металлическую беговую дорожку, цельно-штампованные звенья с хорошей ажурностью, что обеспечивает достаточную очищаемость ее от грунта, снижает коэффициент трения качения опорного катка по беговой дорожке.

Трак (рис. 7) включает: два звена, гребень, башмак, скобы, пальцы  и элементы крепления. Количество траков 78 - 79 шт.

Рис. 5.  Гусеница Т-64 в сборе

Резино-металлический шарнир гусеницы Т-64

                                          Рис. 6. Резино-металлический шарнир гусеницы Т-64

    

Рис.  7. Трак гусеницы Т-64. Вид со стороны беговой дорожки и со стороны грунтозацепов.

Рис. 8. Гребень и башмак гусеницы Т-64 в сборе. Отчетливо видна полость,

повышающая сцепные качества гусеницы,  и два болта крепления.

 

Трак гусеницы танка Т-80 (рис. 9) имеет обрезиненную беговую дорожку, соединительные скобы, гребни и башмаки (рис. 10).

 

     

Рис. 9. Трак гусеницы Т-80. Вид со стороны беговой дорожки и со стороны грунтозацепов

Рис. 10. Гребень и башмак гусеницы Т-80 в сборе.


 

Соединение гребня с башмаком осуществляется одним болтом. Форма опорной поверхности башмака плоская, что существенно  ухудшает сцепные качества гусеницы с грунтом.

К преимуществам гусеницы танка Т-64 можно отнести высокие сцепные качества, низкий вес,  хорошую очищаемость, высокую надежность, достаточный ресурс (10 – 11 тыс. км), зачастую танки уходили в капитальный ремонт на «родных» гусеницах, низкие холостые потери мощности в гусеничном обводе при перематывании,  что обусловлено относительно незначительными силами инерции и гистерезисными потерями в РМШ.

Высокие сцепные качества гусеницы танка Т-64 объясняются формой опорной поверхности и конструкцией опорного катка. Все, за что критиковали ходовую часть Т-64 некоторые теоретики-ходовики  ВНИИТрансмаша, и реализовывали в металле конструкторы ЛКЗ и «Уралвагонзавода», по меткому выражению А.А. Морозова было «бредом сивой кобылы».

Физика, школьный курс: кулоновская сила трения равна произведению нормального давления на коэффициент трения. Чем выше сила трения, тем лучше сцепление. Коэффициент трения в системе «сталь-грунт» значительно меньше коэффициента трения в системе «грунт-грунт».

Террамеханика: сила трения между слоями грунта зависит от нормального давления, свойств несущего основания и взаимного перемещения слоев грунта.

Маленький  стальной (жесткий) опорный каток обеспечивает высокие контактные давления на стальную  беговую дорожку трака. Под их воздействием гибкий (с параллельным шарниром) трак, лежащий на податливом несущем основании, деформируется с переменным радиусом кривизны. Жесткий цельный трак, с последовательным шарниром танка Т-72, этим свойством не обладает. Максимальные давления в системе «гусеница-грунт» возникают в центре трака, в зоне башмака, а там полость, которая забивается грунтом и удерживает его шпорами. Именно она обеспечивает высокий коэффициент трения в системе «гусеница-грунт» и  высокие тягово-сцепные качества гусеничного движителя. 20 .. 25 % тяговых (сцепных)  качеств гусеницы танка Т-64 реализуется  БАШМАКОМ.

Форма опорной поверхности звена и отверстия в нем не только уменьшают вес (снижают холостые потери на перематывание), повышают очищаемость гусеницы, но и повышают ее сцепные свойства: работают внутренние связи (усилия) между частицами грунта, находящимися под и над гусеницей. За счет этого реализуется еще 15 .. 25 % тягового усилия. Остальные 50...65% реализуются грунтозацепами (шпорами) трака.  Гениальность ходовой части морозовского Т-64 в ее простоте и эффективности. « В танке мелочей не бывает», - любил повторять А.А. Морозов [5] и ходовая часть  Т-64 этому подтверждение.


Авторы статьи рекомендуют разработчикам ходовых систем «Уралвагонзавода» и ЛКЗ, при мытье   резиновых сапог, после рыбалки или  охоты, обращать внимание на различие рисунка протектора  на подошве и каблуках, на которых реализуется  максимальное давление на грунт…

Законы изменения радиальной и угловой жесткости РМШ в режимах нагружения и восстановления позволяют определить мощность гистерезисных потерь, затрачиваемую на нагрев резины за один цикл. Данная характеристика, совместно с экспериментально получаемой циклограммой нагружения трака в гусеничном обводе, позволяет минимизировать холостые потери в гусеничном обводе, обеспечить устойчивость верхней ветви гусениы при движении танка и требуемый ресурс гусеницы по РМШ.

 

Рис. 11. Очищаемость гусеницы танка Т-64  при его движении

 

 Гусеница Т-64 показала лучшую, из всех существующих, сцепляемость с грунтом. В дополнении с ажурностью и самоочищаемостью траков танк Т-64 превосходил  Т-72 и Т-80 по показателям проходимости при движении на снежной целин и заболоченным участкам.

Для танка Т-72, по сравнению с Т-64,  была характерна  низкая  проходимость  в условиях  весенне-осенней распутицы  и по болоту.   Так, например, в  КВО учебном центре  (г. Бердычев)  обучение экипажей   вожде­нию в указанных  условиях  проводились  на Т-64,   т.к. танки Т-72   застревали  и  буксовали из-за забиваемости  траков  грунтом и  подклинки опорных катков грязью.

 

 

Рис. 12. Проходимость танка Т-64 на заболоченном участке и предельная забиваемость ходовой части, при которой теряется его подвижность.

 

Рис. 13. Предельная забиваемость ходовой части танка Т-80,

 при которой теряется  его подвижность.

000213

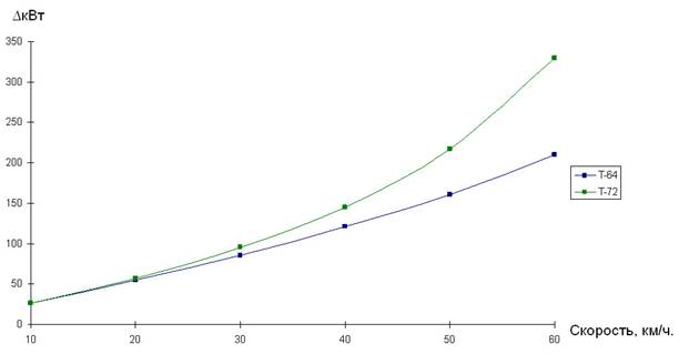
Рис. 14. Холостые потери мощности в гусеничном обводе танков Т-64 и Т-72


 

 Анализ потерь мощности в гусеничном обводе (рис. 13.) показывает: повышение мощности двигателя В-46 и его модификаций до 840…1000 л.с. только выравнивает свободную мощность, затрачиваемую на колееобразование и движение танка Т-72, с аналогичным показателем Т-64.

 По-видимому, это обстоятельство заставило разработчиков  «Уралвагонзавода» отказаться от гусениц с последовательным шарниром, применяемых на ранних образцах Т-72, и использовать в своих  более поздних разработках  трак с параллельным шарниром без отверстий в звеньях, изменив в худшую сторону, от непонимания протекающих физических процессов, конструкцию башмака. Он как был плоским, таким и остался рис. 15.

Рис. 15.  Гусеница танка Т-90С

2.2. Система подрессоревания

 

Система подрессоревания танка включает в себя следующие узлы и детали:

-        опорные катки и балансиры;

-        подшипниковые узлы подвески;

-        гидроамортизаторы;

-        торсионы;

-        ограничительные упоры балансиров.

 Отличительной особенностью системы подрессоревания танка Т-64 является соосность торсионов. Если мы не ошибаемся, ни один существующий в мире танк не обладает  данной особенностью…

Боевое использование ЗСУ-23-4  “Шилка” в операции “Жало пустыни” показало высокую эффективность применения артиллерии малого калибра для борьбы с элементами высокоточного оружия. Так,  13.01.1993 года, батарея ПВО, имевшая на  вооружении подвижные комплексы ЗСУ-23-4,  уничтожила 8 КР «Tomahavk». Общее число КР, сбитых  войсками ПВО Ирака составило  16  - 18 единиц.

Полученные материалы явились основанием для украинских военных и разработчиков систем вооружения поставить вопрос о модернизации ЗСУ-23-4 «Шилка» и доведения ее технического уровня до требований современного боя.

В середине 90-х годов, НЦ ВВС и ПВО при Харьковском военном университете выступил инициатором модернизации ЗСУ-23-4 «Шилка» (тема «Донец»), к которой были привлечены «Хартрон» (системы наведения и управления), ИМИС (разработка конструкторской документации) и «Завод имени Малышева» (изготовитель).

В качестве возможных вариантов шасси рассматривались:

-        многоцелевой тяжелый тягач МТ-Т;

-        танк Т-80УД, серийно выпускаемый «Заводом имени Малышева»;

-        танк Т-64А, снятый с производства, но находящийся на хранении и подлежащий уничтожению, в соответствии с Договором об ограничении войск в Европе.

При обосновании путей модернизации ПЗРАК «Донец», НЦ ВВС и ПВО использовал информационную технологию «Gill» [ 8 ].

В результате проделанной работы были сделаны следующие выводы:

  • Математическое моделирование боевого применения ЗСУ-23-4 «Шилка» показало: несмотря на несоосность торсионов, но за счет изменения расположения опорных катков правого и левого бортов (они смешены относительно оси ведущих колес почти на межкатковое расстояние) удалось свести к минимуму влияние несоосности торсионов на точность стрельбы.
  • Тягач  МТ-Т не обеспечивает требуемую защиту экипажа и содержит двигатель В-46, изготавливаемый в России.
  • Шасси танка Т-80УД (гибрид харьковского МТО с двигателем 6ТД и ходовой части танка   Т-80),  по сравнению с Т-64А, имеет больший вес и завышенную мощность дизеля.  Торсионы системы подрессоревания правого и левого бортов танка Т-80УД смещены относительно друг друга на 112 мм . При работе систем наведения  и стрельбе с максимальными угловыми скоростями башни  по горизонтали 70 град/сек, по вертикали – 60 град/сек, за счет неуравновешенности башни возникают  дополнительные продольно-поперечные колебания корпуса, приводящие к увеличению погрешности стрельбы на 10–12%.
  • 4. Соосность торсионов танка Т-64 обеспечивает не только высокие показатели подвижности и плавности хода, но и оказывает существенное влияние на точность стрельбы .
  • Некоторые промежуточные результаты по теме «Донец» были доложены  на международной конференции [ 9 ] и нашли полное понимание и одобрение у присутсвующего David W. Pride (Armor Systems R&D), представляющего U.S.Army Materiel Command Science and Technology Center – Europe.

Спустя 10 лет, в декабре 2007 года идея модернизации ЗСУ-23-4  «Шилка» будет объявлена «золотой» идеей России [10]…

Морозовская идеология танка Т-64 заключалась в том, что все составные системы, обеспечивающие подвижность, защиту и огневую мощь, должны дополнять друг друга.

 

2.2.1. Опорный каток и балансир

Опорный каток танка Т-64 - двухскатный, обод стальной с внутренней амортизаци­ей (рис. 16).  Диск и ступица выполнены из алюминиевого сплава.

Конструкция катка выполнена в лучших традициях морозовской конструкторской школы. Обратите внивание на два буртика на ступице в зоне нижней части стального обода – это ограничители радиального перемещения обода. Изящно, просто и надежно…

Случаев разрушения внутренней амортизации при эксплуатации на типовых тан­ковых трассах не было. Исключение составляет бетонная трасса - наблю­дался перегрев резины и возникали высокочастотные вибрации, обусловленные звенчатостью гусеницы. Сторонники Т-80 говорили о повышенных вибрациях Т-64 за счет жесткого контакта «гусеница-каток». Да, это имело место, но они не превышали допустимых. Опорные катки Т-64 обладали повышенной надежностью по сравнению с катками танков Т-62, Т-72 и Т-80, обеспечивали высокую проходимость и имели более низкую стоимость (раздел 3).

 

Рис. 16. Опорный каток и балансир Т-64 в сборе        Рис. 17. Опорый каток и балансир Т-80 в сборе

Рис. 18. Балансир подвески танка Т-72


 

Балансир танка Т-72 (рис. 18) стальной, штампованный, выполнен вместе с осями катка и балансира. В оси балансира нарезаны шлицы для его соединения с торсионом. К балансиру приварены лабиринтные кольца и скребок с износостойкой наваркой.

В балансиры первых, вторых и шестых подвесок запресованы пальцы, обеспечивающие их соединение с лопастными амортизаторами.

Балансир центруется во втулке и в обойме с помощью игольчатых подшипников. Осевое перемещение балансира исключается с помощью шариков.

Балансиры правого и левого бортов отличаются установкой скребков.

Балансиры первых, вторых и шестых подвесок отличаются от балансиров третьих, четвертых и пятых подвесок наличием пальцев для амортизаторов и шириной шейки под роликовый подшипник на оси катка.

 

2.2.2.  Подшипниковый узел

Все рабочие и сборочные чертежи, на которых стоит подпись А.А. Морозова, отличаются рационализмом, целенаправленостью и неповторимым изяществом.  Это было видно на конструкции опорных катков и балансиров (рис. 16), это повторяется в подшипниковом узеле подвески Т-64 (рис. 19). Ни одной лишней детали, максимальное использование пространства, плавность линий и законченная композиция – вот морозовская школа конструирования. Любая попытка представителей  более низкого конструкторского  уровня внести сюда свои «дополнения» и «улучшения», как любят говорить его оппоненты из Питера и Нижнего Тагила, лишенные чувства скромности, приводит к топорности конструкции, снижению ее эффективности, увеличению веса и стоимости…

Талант конструктора, как и талант художника, - объективная реальность. Можно присвоить чужую разработку, выдавая за свою, но превзойти в будущем САМОГО  СЕБЯ – это под силу только ТАЛАНТУ. Конструкторский талант А.А. Морозова проявился при создании Т-34, Т-44, Т-54. Это повторилось и  с танком Т-64...

Простого конструкторского таланта  не хватило кадровым военным, выпускникам АБТВ им. Р.Я.  Малиновского Л.Н. Карцеву и В.Н. Вендиктову -  главным конструкторам Т-72. Одного «местечкового патриотизма» оказалось недостаточно для удержания лидирующего места  в мировом танкостроении…

Не явился исключением  и их однокашник по академии кадровый генерал Н.А. Шомин – главный конструктор  харьковского танка Т-80УД, установив на него ходовую часть  Т-80…

Рис. 19. Подшипниковый узел подвески танка Т-64


Рис.20. Подшипниковый узел подвески танка Т-80



 

 


 
ГЛАВНАЯ НА ВООРУЖЕНИИ ПЕРСПЕКТИВНЫЕ
РАЗРАБОТКИ
ОГНЕВАЯ МОЩЬ
ЗАЩИТА ПОДВИЖНОСТЬ 

ЭКСКЛЮЗИВНЫЕ МАТЕРИАЛЫ  БИБЛИОТЕКА ФОТООБЗОРЫ