ГЛАВНАЯ НА ВООРУЖЕНИИ ПЕРСПЕКТИВНЫЕ
РАЗРАБОТКИ
ОГНЕВАЯ МОЩЬ
ЗАЩИТА ПОДВИЖНОСТЬ 

ЭКСКЛЮЗИВНЫЕ МАТЕРИАЛЫ  БИБЛИОТЕКА ФОТООБЗОРЫ
 
 




СРАВНИТЕЛЬНАЯ ОЦЕНКА НАДЕЖНОСТИ СРЕДНИХ ТАНКОВ

Инж.-полковник И. И. КОС, инж.-подполковник Р. В. СИДОРЕНКО

Вестник бронетанковой техники. 1968. № 1.

 

Выход из строя боевой машины может происхо­дить вследствие отказов по техническим причинам (неисправности, поломки, аварии) или в результа­те боевых повреждений. В первом случае говорим об эксплуатационных качествах (надежности), во втором — о приспособленности машины противо­стоять воздействию противника, т. е. о ее боевых качествах. Ниже изложены наши взгляды только по вопросу оценки эксплуатационной надежности бронетанковой техники.

Прежде чем производить оценку надежности машин, необходимо изложить основные положения, определяющие методику исследования и обработки статистических данных по надежности. К таким вопросам относятся определение предмета исследова­ния, понятия надежности, ее места и роли в процес­се создания и эксплуатации бронетанковой техники, а также конкретные критерии ее оценки.

 

Основные положения

В настоящее время не существует единого взгляда на все перечисленные выше вопросы даже в области применения автоматических управляю­щих систем, где исследования надежности систем в силу специфики их конструкции и эксплуатации проводятся наиболее полно.

Причиной такого положения является то обстоя­тельство, что не может быть единого решения в условиях, когда одно и то же явление — отказ системы приводит к самым разнообразным последствиям. В одних случаях это будет временная остановка системы, в других — полный выход ее из строя. Так, например, отказ двигателя наземного транспортного средства потребует в худшем случае замену двигателя, в условиях воздушного транс­порта такой же отказ может вызвать тяжелую ка­тастрофу. Аналогично, следствием несложного от­каза двигателя боевой машины может быть унич­тожение ее, в то время как такой же отказ на машине другого типа может не оказывать никакого влияния на ее сохранность. Более того, один и тот же отказ в светлое время суток может быть далеко не равноценным такому же отказу в ночное время. Поэтому, на наш взгляд, предметом исследования надежности бронетанковой техники должны являть­ся все отказы деталей, узлов и агрегатов.

Под отказом будем понимать изменение состоя­ния детали, узла или агрегата машины, вызываю­щее прекращение или ухудшение их работоспособ­ности.

Для устранения отказов, как и для проведения технического обслуживания машин, необходима их остановка, определенные силы и средства. Однако с точки зрения боевого использования остановки машин для проведения планового технического об­служивания и для устранения случайных отказов не являются равноценными. В первом случае мы имеем дело с преднамеренными остановками всех машин через заданный пробег, во втором — с вне­запным выходом из строя отдельных машин. Трудоемкость обслуживания характеризуется абсолют­ными величинами, а надежность — вероятностными характеристиками. Поэтому необходимо оценивать отдельно такие эксплуатационные качества, как на­дежность и трудоемкость обслуживания.

Вполне понятно, что предъявлять определенные требования по надежности машин можно только в течение заданного срока их службы в условиях эксплуатации, для которых предназначена машина. Поэтому определение надежности бронетанковой техники может быть сформулировано следующим образом.

 

 

Надежность есть свойство машины, обусловлен­ное главным образом безотказностью и приспособ­ленностью конструкции к восстановлению в течение межремонтного срока службы в заданных условиях .эксплуатации.

Продолжительность восстановления машины за­висит не только от характера отказа, но и от других факторов, влияние которых не определяется свой­ством конструкции (условия местности, квалифи­кация личного состава и т. п.). Поэтому при оценке надежности машин учитывать эти факторы не сле­дует.

Место и роль исследования надежности машин в процессе их создания и эксплуатации показаны схематически в табл. 1. В таблице представлены основные этапы создания машин, указаны сведе­ния, которые мы должны получить в результате исследования надежности машин при их эксплуа­тации, и мероприятия, направленные на повышение и сохранение надежности бронетанковой техники в процессе конструирования, производства и эксп­луатации.

Возможности использования данных по надеж­ности не ограничиваются мероприятиями, перечис­ленными на схеме. Достаточно сказать, что объек­тивная оценка технических возможностей танков, например, при совершении марша большой протя­женностью, немыслима без анализа их надежности. Нельзя говорить и о влиянии условий эксплуатации на надежность танков, если нет достаточно полных данных для такого анализа.

С точки зрения выполнения танками поставлен­ных перед ними задач отказы не являются равно­ценными. В одном случае следствием отказа являет­ся лишь увеличение затрат времени на восстанов­ление боеготовности машины в районе сбора, в другом — вынужденная остановка танка на марш­руте. Часто для ликвидации отказов требуются подвижные средства обслуживания, запасные части или специалисты-ремонтники, а иногда для восста­новления машины необходим ремонт в заводских условиях. Поэтому и критерии оценки надежности машин должны достаточно полно характеризовать отказы исходя из того, какое их влияние на боевые качества танков.

Независимо от характера и мест отказов, как правило общим для них является необходимость остановки машины на определенное время с целью ее восстановления.

Продолжительность этого вре­мени и количество остановок за единицу учета ра­боты машины могут и должны быть, на наш взгляд, основными критериями оценки ее надежности, т. е. безотказности и приспособленности к восстанов­лению.

Количество и трудоемкость отказов за единицу пробега не являются постоянными величинами в течение срока службы машины. В первом прибли­жении оценивать надежность следует по их средним значениям за межремонтный срок службы машин.

Количество отказов. Для оценки количества от­казов бронетанковой техники удобным является среднее количество отказов т за еди­ницу пробега танка:

 

где n(S) —общее количество отказов за пробег «S», км;

N — количество машин, работающих на пу­ти Si.

Продолжительность устранения отказов характе­ризуется средним временем t необходимым для устранения одного отказа:

 

где ti — время, потребное для устранения i-го отказа;

n — количество отказов.

Исходя из условий боевого использования ма­шин, нас интересует в основном время простоя тан­ка в ремонте.

При оценке надежности можно ограничиться продолжительностью восстановления в часах. Для более полной оценки характера отказов введем по­нятие коэффициентов сложности и срочности отка­зов.

Коэффициент сложности. Ксл представляет со­бой отношение количества сложных отказов nсл, устранение которых невозможно экипажем с ис­пользованием ЗИПа машин, к общему числу отка­зов n за один и тот же пробег танков:

Коэффициент срочности. Кп может быть выра­жен отношением количества полных отказов nп, требующих немедленной остановки танка для его восстановления, к общему числу отказов n за один и тот же пробег танков:

 

Оценка надежности машин была бы неполной без учета распределения основных критериев оцен­ки в течение межремонтного срока службы броне­танковой техники, т. е. без учета динамической ха­рактеристики надежности. Для получения таких за­висимостей обработка статистических данных мо­жет проводиться через каждые 1000 км пробега ма­шин.

Таким образом, в качестве критериев оценки на­дежности бронетанковой техники мы принимаем следующие величины:

  1. Среднее количество отказов т за единицу пробега.
  2. Среднее время С необходимое для устранения одного отказа.
  3. Коэффициент сложности устранения отка­зов Ксл.
  4. Коэффициент срочности устранения отка­зов Кп.
  5. Зависимости основных критериев оценки на­дежности от пробега машин с начала эксплуатации до ремонта.

Зная цифровые значения критериев оценки, мы можем иметь представление о степени надежности машин данной марки. Вместе с тем, сравнительно большое количество критериев, цифровые значения которых могут колебаться в больших пределах, не позволяют ответить однозначно, когда речь идет о сопоставлении различных марок машин между со­бой, предъявлении тактико-технических требований к новым маркам машин и т. п. Для этих целей не­обходимо иметь один обобщенный показатель оценки надежности машин — коэффициент надеж­ности.

Коэффициент надежности должен учитывать не только необходимые критерии надежности, но и степень их влияния на это свойство машин.

В первую очередь этот коэффициент должен учитывать количество отказов машин и трудоем­кость работ по их устранению. Для этой цели мож­но было бы принять время, необходимое для устра­нения отказов за единицу пробега. Однако такая форма коэффициента надежности не обеспечивает учет влияния всех необходимых критериев оценки надежности боевых машин. Поэтому лучше вос­пользоваться известным в литературе коэффициен­том готовности [2], который в нашем случае равен отношению времени работы Тр к сумме времени работы и времени простоя в ремонте Тп, отнесен­ным к единице пробега:

Предлагаемые критерии оценки и коэффициент надежности не могут отражать полностью все мно­гообразие отказов и их влияние на боевые и эксп­луатационные качества танков. Однако, на наш взгляд, для практической оценки надежности ма­рок машин в целом и сопоставления их между со­бой эти показатели необходимы и достаточны. Они

позволяют производить оценку надежности броне­танковой техники в процессе ее эксплуатации не об­щими и неопределенными понятиями, а конкретны­ми величинами.

Обработка статистических данных производи­лась на электронно-вычислительной машине Минск-II [4].

 

Статические характеристики надежности

Значения средних критериев оценки надежности за минимальный межремонтный пробег объектов 137, 155 и 166 приведены в табл. 2.

 

 Таблица 2

Объект

Минималь­ный межре­монтный пробег, км

Критерии оценки надежности

Коэффи­циент надежности

Кн

m

1/100 км

t

час

Кср,

Ксд

137

6000

0,80

3,10

0,36

0,70

0,62

155

7000

0,73

1,83

0,38

0,50

0,77

165

7000

1,06

1,48

0,28

0,60

0,74

 

Как указывалось выше, зная критерии оценки и коэффициент надежности, можно провести срав­нительную оценку машин различных марок по на­дежности, а также оценить надежность машин од­ной марки в различные периоды их работы.

На основании данных, приведенных в табл. 2, можно сказать следующее.

Количество отказов на каждые 100 км пробега современных средних танков составляет примерно от 0,73 (объект 155) до 1,06 (объект 166). На устра­нение каждого отказа потребуется в среднем два (объекты 155, 166) — три (объект 137) часа.

Из общего количества отказов около 30-40% требуют устранения в момент их обнаружения, т. е. они могут вызвать вынужденную остановку танков на маршруте. Для значительно большей доли отка­зов (50-70%) требуются для их устранения запас­ные части, ремонтные средства или специалисты- ремонтники.

Для окончательной сравнительной оценки на­дежности этих марок танков используем коэффи­циент надежности. Результаты подсчетов показы­вают, что наиболее надежным является объект 155, несколько худшим — объект 166. Наименее надеж­ной машиной является объект 137.

Высокая надежность объекта 155 по сравнению с объектом 166 обусловлена малым количеством отказов за единицу пробега (см. табл. 2). В ре­зультате, несмотря на то, что трудоемкость устра­нения одного отказа объекта 155 даже больше, чем объекта 166, надежность первой машины значитель­но выше. Причины такого положения легко объяс­нить, анализируя распределение отказов между основными агрегатами и системами танков.

            В табл. 3 показано среднее количество отказов, приходящихся на каждые 1000 км пробега в тече­ние минимального межремонтного срока службы объектов 155 и 166.

 

 

Таблица 3

Агрегат, система

Количество

отказов m,

1/1000 км

 

Объект 155

Объект 166

Силовая установка

2,36

3,7

Силовая передача

1,56

1,4

Ходовая часть

1,79

1,6

Электрооборудование и система наведения

 

1,95

2,3

Прочие отказы (вооружение, радиооборудование и т. д.)

0,66

1,6

Всего

7,32

10,6

 

Как видно из этой таблицы, основной причиной увеличения количества отказов на объекте 166 по сравнению с объектом 155 являются отказы сило­вой установки и электрооборудования.

 

Динамические характеристики надежности

 

 

Надежность машин в процессе их эксплуатации не является постоянной. Поэтому одним из важней­ших показателей надежности являются зависимо­сти основных критериев оценки надежности от про­бега машин. В качестве примера ниже приведен^ средние значения критериев оценки надежности объекта 137, подсчитанные за каждые 1000 км про­бега в течение всего срока службы машин. Данные подсчетов сведены в табл. 4.

Рассмотрим кратко характер изменения крите­риев оценки надежности в зависимости от пробега машин.

Количество отказов. Результаты подсчетов по­казаны графически на фиг. 1. Сплошными линиями соединены средние значения за минимальный срок службы до среднего ремонта, а прерывистыми — от среднего до капитального ремонта или до оконча­ния наблюдений.

Необходимо отметить, что количество отказов изменяется существенно. Наибольшее количество отказов до среднего ремонта в 2-4 раза превышает количество отказов, появляющихся на машинах с пробегом до 1000 км . При этом на объектах 155 и 166 наблюдается классическая зависимость с мак­симумом при пробеге 2000- 3000 км . Затем количество отказов сначала несколько уменьшается, а далее имеется общая тенденция к увеличению от­казов до проведения среднего ремонта.

 

Таблица 4

Пробег, 103 км

m,

1/100 км

t

час

Кср

Ксл

Кн

0-1

0,53

2,27

0,38

0,53

0,78

1-2

0,83

2,28

0,37

0,82

0,67

2-3

0,78

3,38

0,38

0,73

0,60

3-4

0,73

3,48

0,38

0,72

0,61

4-5

1,04

4,10

0,35

0,76

0,48

5-6

0,88

3,02

0,30

0,63

0,61

6-7

1,41

3,38

0,21

0,79

0,48

7-8

0,71

3,60

0,34

0,71

0,61

8-9

0,71

3,68

0,34

0,77

0,61

9-10

1,02

4,38

0,21

0,86

0,49

10-11

1,11

3,40

0,19

0,89

0,53

 

После сред­него ремонта количество отказов несколько умень­шается (объекты 137, 155), а затем, начиная с 8000- 9000 км , наблюдается довольно резкое уве­личение их количества. Иной характер зависимо­сти для объекта 166 объясняется тем, что на этих машинах не проводился средний ремонт.

На объекте 137 максимум отказов в начальный период эксплуатации резко не проявляется, хотя при обработке статистических данных полигонных испытаний [3] это имело место. Весьма вероятно, что здесь сказывается неоднородность конструкции наблюдаемых объектов 137.

Количество отказов на новых машинах (до 2000 км пробега) примерно одинаковое и находит­ся в пределах 0,4-0,8 случаев на 100 км . Затем на объекте 137 достигает примерно 1,0, на объекте 155-0,85 и на объекте 166-1,25 случаев. После среднего ремонта наибольшее количество отказов для объекта 137 составило 1,24, а для объекта 155-1,1 случаев.

Эксплуатация машин без среднего ремонта при­водит к резкому увеличению количества отказов. Для объекта 166 такое увеличение наступает после 8000 км пробега. В целом количество отказов пос­ле среднего ремонта машин примерно равно или немного больше чем в периоды до среднего ре­монта.

На фиг. 1, а также на других графиках, харак­теризующих зависимость критериев оценки надеж­ности от пробега машин, можно наблюдать улуч­шение этих показателей перед тем, как машина от­правляется в ремонт. Это имеет место, например, для объекта 137 в период 5000- 6000 км пробега. Вполне возможно, что такой характер изменения объясняется не действительным повышением на­дежности, а неполным устранением всех отказов машин, межремонтный срок которых подходит к концу. Однако не исключено, что к этому времени производится замена наименее надежных узлов и деталей.

 

 

Зависимость количества отказов от пробега машины

Фиг. 1. Зависимость количества отказов от пробега машины:

1 — объект 137; 2 — объект 155; 3 — объект 166.

 

Зависимость времени устранения одного отказа от пробега машин

Фиг. 2. Зависимость времени устранения одного отказа от пробега машин:

1 — объект 137; 2 — объект 155; 3 — объект 166.

 

 

Время на устранение отказов. Среднее время, необходимое для устранения одного отказа, по пе­риодам работы машин показано на фиг. 2. В пер­вом приближении без математической обработки материала можно отметить, что по мере увеличения пробега танков примерно до 4000 км время для устранения одного отказа увеличивается довольно резко, а затем в какой-то мере стабилизируется или увеличивается незначительно до проведения сред­него ремонта.

В начальный период работы (до 2000 км пробе­га) среднее время t на устранение одного отказа равно примерно одному часу для объекта 155 и 166; для объекта 137 — примерно в два раза больше. До 5000 км пробега значение t для всех машин уве­личивается в 2-2,5 раза и остается в основном на таком уровне до среднего ремонта.

После среднего ремонта следовало бы ожидать резкое снижение этого времени. Однако в обоих случаях (объекты 137, 155), когда проводился на машинах средний ремонт, затраты времени для устранения одного отказа за единицу пробега не уменьшились. Это говорит о том, что после сред­него ремонта имеем дело с отказами, трудоемкость устранения которых больше, чем до ремонта. Ха­рактерными в этом отношении являются данные по объекту 155, для которого величина t после средне­го ремонта примерно в полтора раза больше, чем в период работы от 3000 до 7000 км пробега.

Коэффициенты срочности и сложности. Количе­ство полных отказов, требующих устранения в мо­мент их обнаружения, за весь срок службы машин колеблется в пределах от 30 до 40% от общего числа отказов. Исключением является только объ­ект 155 после среднего ремонта, где количество полных отказов достигает 50%.

Для объекта 137 величина Кп примерно по­стоянная до 4000 км . Затем до и после проведения среднего ремонта характер изменения Кп такой же как и на объектах 155 и 166.

В отличие от коэффициента срочности, коэффи­циент сложности по мере увеличения пробега тан­ков постепенно возрастает. Для объектов 155 и 166 характер изменения примерно одинаковый, в то время как для объекта 137 до пробега 4000 км зна­чение Ксл примерно в два раза больше и составляет до 80% от общего количества отказов за данный интервал пробега.

После проведения среднего ремонта существен­ное снижение коэффициента сложности имеет мес­то только на объекте 155 в течение 1000 км пробега. Обобщенную оценку надежности по периодам работы танков проведем при помощи коэффициента надежности.

Коэффициент надежности, подсчитанный за от­дельные периоды работы машин, так же как и кри­терии надежности, не является величиной постоян­ной. В зависимости от пробега машин этот коэффи­циент меняется существенно. На фиг. 3 показаны зависимости Кн от пробега объектов 137, 155 и 166.

Первое, что обращает на себя внимание при рассмотрении этих величин — это одинаковый ха­рактер изменения Кн от пробега танков.

 

Зависимость коэффициента надежности от про¬бега машин

Фиг. 3. Зависимость коэффициента надежности от про­бега машин:

1 — объект 137; 2 — объект 155; 3 — объект 166.

 

С увеличением пробега значение Кн для всех марок машин уменьшается сначала довольно резко (до 3000 км пробега). В дальнейшем темп умень­шения Кн резко снижается непрерывно до оконча­ния наблюдения.

Поскольку общая оценка надежности за меж­ремонтный срок службы является очень важным и интересным показателем этого свойства машин, ни­же приводится краткий анализ этих зависимостей.

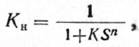
Общее уравнение изменения коэффициента на­дежности можно записать в следующем виде

де S — пробег машин, км;

K и n — постоянные величины (табл. 5).

 

 

Таблица 5

Объект

К

n

137

0,43

0,4

155

0,16

0,5

166

0,14

0,85

 

В целом, на всех графиках наблюдается очень хорошее совпадение опытных данных с эмпирическими кривыми. В худшую сторону отличаются ре­зультаты исследования объекта 137.

Наиболее резко происходит снижение надежно­сти объекта 137, затем объекта 155. Лучшим в на­чальный период работы (до 2000 км пробега) яв­ляется объект 166. Однако в дальнейшем темп сни­жения надежности обекта 155 заметно ниже, чем объекта 166. Поэтому и понятно, что в итоге за межремонтный пробег надежность объекта 155 вы­ше, чем объекта 166 (см. табл. 1).

В последнее время проводились марши танко­вых подразделений и частей, в ходе которых были получены все необходимые данные для оценки на­дежности машин. Результаты этих испытаний пред­ставляют очень ценный материал как для определе­ния надежности марок машин на данном интервале работы, так и для оценки достоверности статистиче­ских данных.

В табл. 6 приведены характеристики машин, значения критериев и коэффициента надежности, полученные в ходе маршей в различных условиях.


 

Таблица 6

 

Округ

Объект

Количест­во машин

Общий пробег, км

m, 1/100 км

t, час

Кср

Ксл

Кн

БВО

137

31

49021

0,87

1,64

0,37

0,6

0,74

ПрикВО

155

10

16714

0,74

0,85

0,44

0,5

0,87

КВО

155

31

40510

1,10

0,36

0,62

0,22

0,92

МВО

155

13

9174

1,00

0,6

0,55

0,34

0,88

ПрикВО

166

21

36460

0,85

0,57

0,62

0,33

0,86

 

Пробег машин до начала марша был в преде­лах 100- 2000 км . Значения Кн хорошо совпадают с результатами обработки статистических данных в начальный период работы машин.

Полученные выше зависимости дают достаточно полное представление о надежности машин в це­лом. В то же время на основании этих данных нель­зя выявить мероприятия конструктивного, произ­водственного или эксплуатационного характера, направленные на повышение или сохранение на­дежности машин. Для этих целей необходима иная методика обработки статистического материала. Ее целесообразно проводить отдельно для каждой марки машин. Однако ряд вопросов боевого использования, эксплуатации и ремонта танков могут быть с точки зрения надежности в какой-то мере освещены на основании изложенных выше материа­лов. Ниже рассмотрены некоторые из этих вопро­сов.

Одним из мероприятий, в процессе которых про­веряется качество бронетанковой техники, являет­ся пробег машин на протяжении гарантийного сро­ка их службы. Для обекта 137 этот пробег состав­лял 1000 км , для объектов 155 и 166 — 2000 км .

Для того .чтобы оценить, насколько результаты гарантийных испытаний могут быть распростране­ны на оценку надежности машин в течение мини­мального межремонтного срока их службы, подсчи­таем средние значения критериев оценки и коэффи­циента надежности за эти периоды работы машин (табл. 7).

Приведенные в табл. 7 данные показывают, что средние значения основных показателей надежно­сти (m, t) за гарантийный пробег машин примерно в 1,5-2,0 раза превышают такие значения за меж­ремонтный срок службы. Соответственно отлича­ются и коэффициенты надежности. Более того, по данным гарантийных испытаний более высокой на­дежностью по сравнению с объектом 155 обладает объект 166, в то время как результаты подсчетов за межремонтный пробег дают обратную картину.

Таким образом, судить о степени надежности машин по данным гарантийных пробегов без допол­нительных теоретических исследований не пред­ставляется возможным. Сущность таких исследова­ний заключается в следующем.

Как было показано выше (фиг. 3), результаты ста­тистических исследований по всем трем маркам ма­шин очень хорошо совпадают с эмпирическими кри­выми в течение всего срока службы. На наш взгляд, такое совпадение не может быть случайным: зна­чит, степень надежности машин данной марки зало­жена в конструкции и изменяется в зависимости от пробега от начала до конца эксплуатации по опре­деленному закону. Если в течение гарантийных про­бегов выявить эту закономерность, то нетрудно подсчитать уровень надежности машин в течение межремонтного срока их службы или до капиталь­ного ремонта.


 

Таблица 7

Объект

Гарантийный пробег

Межремонтный пробег

m,

1/100 км

t,

час

Кп

Ксл

Кн

m,

1/100 км

t,

час

Кп

Ксл

Кн

137

0,53

2,27

0,38

0,35

0,79

0,8

3,10

0,36

0,70

0,62

155

0,58

1,07

0,42

0,41

0,88

0,73

1,83

0,38

0,50

0,77

166

0,61

0,78

0,37

0,30

0,91

1,06

1,48

0,28

0,60

0,74

 

Таким образом мы получим возмож­ность на основании испытаний очень ограниченного количества машин в течение небольшого сроки их работы оценить степень надежности марки машин в целом.

Для получения достаточно точных и достоверных данных по надежности методика гарантийных ис­пытаний должна быть несколько изменена. Необ­ходимость изменения существующей методики ис­пытаний вызвана тем, что испытание одиночных машин не дает достаточно точных и достоверных результатов. Кроме того, условия полигонных ис­пытаний более благоприятны, чем условия работы машин в воинских частях [3]. Поэтому и результа­ты испытаний основных агрегатов машин несколь­ко лучше в условиях специальных испытаний. Так, например, при испытаниях объекта 155 на полиго­не имело место 5,6 отказов на 1000 км пробега, а по данным из войск эта цифра возрастает до 7,3.

Следует указать и на то обстоятельство, что ве­роятность отсутствия отказов даже в течение пер­вых 1000 км пробега машин очень мала. Поэтому, на наш взгляд, одним из основных вопросов иссле­дуемых при испытаниях, должна быть не проверка отсутствия появления поломок, а установление уровня надежности машин в течение межремонт­ного срока службы.


 

Выводы

  1. В результате анализа статистических данных и сравнительной оценки трех марок средних танков при помощи соответствующих критериев оценки и коэффициента надежности установлено, что изме­нение надежности каждой марки машины в зави­симости от их пробега подчиняется определенному закону в течение всего срока службы машин. Не исключено, что такая закономерность существует для любой марки машины.
  2. Это обстоятельства значительно облегчает изучение вопросов надежно­сти в результате испытаний группы машин на срав­нительно небольших протяженностях пробега. Надежность современных средних танков ха­рактеризуется следующими основными критериями:

 

 

объект 137

объект 155

объект 166

Количество отказов на 100 км пробега

0,80

0,73

1,06

Трудоемкость устранения

од­ного отказа, часов

3,10

1,83

1,48

Коэффициент надежности

0,62

0,77

0,74

 

В лучшую сторону отличается объект 155. Не­сколько хуже проявляет себя в течение межремонт­ного срока службы объект 166, хотя в начальный период работы последний обладает более высоки­ми показателями по надежности, чем объект 155.

 

  1. Зависимость коэффициента надежности Кн от пробега S подчиняется следующей эмпирической зависимости:

где К и n — постоянные величины для данной мар­ки машины.

 

  1. Методика оценки надежности машин в усло­виях гарантийного пробега должна быть разрабо­тана с учетом количественных показателей надеж­ности и их изменения в течении межремонтного срока службы танков.

 

ЛИТЕРАТУРА

  1. И. И. Кос. Обоснование критериев оценки надежности бронетанковой техники. Труды Академии БТВ, № 205, 1965 г .
  2. Я. Б. Шор. Статические методы анализа и контроля качества и надежности. «Советское радио», М., 1962.
  3. А. У. Тарасенко, И. И. Кос, Р. В. Сидоренко. Исследо­вание эксплуатационной надежности танков. «Вестник броне­танковой техники», 1964, № 6.
  4. И. И. Кос, Р. В. Сидоренко. Методика обработки стати­стических данных о надежности танков. Труды Академии БТВ, № 201, 1964 г .
 





 



ГЛАВНАЯ НА ВООРУЖЕНИИ ПЕРСПЕКТИВНЫЕ
РАЗРАБОТКИ
ОГНЕВАЯ МОЩЬ
ЗАЩИТА ПОДВИЖНОСТЬ 

ЭКСКЛЮЗИВНЫЕ МАТЕРИАЛЫ  БИБЛИОТЕКА ФОТООБЗОРЫ