ГЛАВНАЯ НА ВООРУЖЕНИИ ПЕРСПЕКТИВНЫЕ
РАЗРАБОТКИ
ОГНЕВАЯ МОЩЬ
ЗАЩИТА ПОДВИЖНОСТЬ 

ЭКСКЛЮЗИВНЫЕ МАТЕРИАЛЫ  БИБЛИОТЕКА ФОТООБЗОРЫ
 
 




УЧЕТ ЭКРАНИРУЮЩИХ СВОЙСТВ РЕЛЬЕФА

МЕСТНОСТИ ПРИ МОДЕЛИРОВАНИИ

ОБСТРЕЛА ТАНКА ПРОТИВОТАНКОВЫМИ СРЕДСТВАМИ

Инж. В. Б. ЛЕВШИН, инж. Н. П. МАЛОФЕЕВ

Вестник бронетанковой техники. 1968. № 5-6.

 

Экранирование танка местностью уменьшает его видимые размеры, что при обстреле приводит к снижению вероятности попадания снаряда.

До настоящего времени в решении ряда задач при определении вероятностей поражения танков защитное влияние рельефа местности либо совсем не учитывалось, либо приближенно учитывалось конкретным значением, равным величине математи­ческого ожидания экрана на каждой дистанции обстрела.

В настоящей статье предложен метод расчета вероятностей попадания в танк и поражения его, основанный на учете экранирующих свойств мест­ности законом распределения высоты экрана. В статье также приведены результаты расчетов, показывающие влияние защитных свойств местно­сти на вероятность поражения танка, и оценена величина погрешности, получаемой при учете экрана рельефа местности математическим ожиданием его высоты.


 

Основные зависимости

Вероятность попадания снаряда в танк равна сумме вероятностей попадания в отдельные его де­тали:

 

где 1=1, 2, 3, ... п — номера деталей.

Полная вероятность попадания в каждую деталь может быть опредлена интегрированием в пределах высоты танка вероятности попадания в эту деталь как функции высоты экрана с учетом плотности распределения высоты экрана:

где p (h)—плотность распределения высоты эк­рана;

Pпопi — вероятность попадания в t-ю деталь при условии, что танк закрыт экраном высотой h;

Р(h = 0) —вероятность отсутствия экранирова­ния;

H — высота танка.

Второе слагаемое в этой формуле учитывает те случаи, когда экранирование танка местностью отсутствует.

Для расчета все детали приводятся к прямо­угольной форме.

Вероятность попадания в прямоугольную деталь при наличии экрана высотой h при условии, что стороны прямоугольника параллельны главным осям рассеивания, центр прицеливания находится посредине видимой части цели (фиг. 1) и система­тические ошибки отсутствуют, определяется по формуле:

 

где Ex, Ez — срединные ошибки стрельбы по осям X и г;

 — приведенная функция Лапласа;

α и β — координаты боковых границ детали;

δ и γ — координаты нижней и верхней границ детали еоответствено (начало коорди­нат находится в центре прицелива­ния).

где z1 и z2  — координаты нижнеи и верхней границ детали соответственно (начало коор­динат находится посередине высоты машины).

 

Фиг. 1. Расчетная схема для определения вероятности попадания

в деталь танка. O1 — центр прицеливания.

 

Вероятность поражения танка равна сумме ве­роятностей поражения при попадании в отдельные его детали:

Полная вероятность поражения i-й детали:

 

 

Вероятность поражения i -й детали при условии, что танк закрыт экраном высотой h, равна:

где Pпопi/Pпопi/h— вероятность поражения і-й де­тали, при условии попадания в нее, при наличии экрана высотой h.

Расчеты показывают, что при использовании ме­тодов численного интегрирования достаточная точ­ность достигается при разбивке высоты танка на 4-5 частей.

Характеристики рельефа местности приняты по данным Академии БТВ [1], полученным в резуль­тате статистической обработки линейных разрезов танкодоступной местности общей площадью 289 700 км2 и проведенных экспериментов.

В соответствии с выбранными Академией мето­дами исследования все виды неровностей рельефа местности условно можно разбить на две группы:

  1. Высота неровностей не превышает 2,5 м (мик­рорельеф).
  2. Высота неровностей свыше 2,5 м (макро­рельеф).

Для микрорельефа, с учетом угла места цели, экспериментально получен следующий интеграль­ный закон распределения высоты экрана:

где D — дальность наблюдения, км;

HН — высота расположения наблюдателя над нулевым уровнем местности, м; h — высота экрана, создаваемого рельефом местности;

σδ — среднеквадратичное отклонение угла крутизны ската.

Интегральный закон репределения высоты экра­на по макрорельефу для случайного расположения наблюдателя на поверхности земли (например, в случае встречного движения двух танков):

 

 

для неслучайного расположения наблюдателя (на господствующей высоте):

где χ — коэффициент, равный 1,3 для распреде­ления максимальной (прерывной) даль­ности видимости цели;

hH — высота линии наблюдения над поверхно­стью земли, м.

Принимая допущение о независимости событий видимости цели по макрорельефу и микрорельефу, интегральный закон распределения экрана по полному рельефу можно представить как произведение соответствующих интегральных законов:

 

Оценка влияния экранирующих свойств рельефа местности на величины вероятностей попадания в танк и поражения его

 

Оценка влияния экранирующих свойств рельефа местности произведена путем сравнения вероятно­стей попадания и поражения, полученных при рас­чете обстрела полностью открытого танка и танка, экранированного рельефом в соответствии с зако­ном распределения, полученным для случая распо­ложения наблюдателя на господстующей высоте. Оценка влияния метода учета экранирующих свойств местности произведена путем определения максимально возможных погрешностей расчета ве­роятностей попадания и поражения, получаемых без учета экранирования танка и при приближен­ном учете экранирования математическим ожида­нием высоты экрана.

Расчеты проведены для мишеней, соответствую­щих лобовой (курсовой угол обстрела 0°) и борто­вой (курсовой угол обстрела 90°) проекциям танка. Высоты мишеней приняты равными 1800, 2300 и 2800 мм . Разбивка мишеней на элементы (башня, верхний лобовой лист, редан, клиренс) сделана с учетом возможного дифференцирования брониро­вания по высоте машины. Принятые размеры ука­заны на фиг. 2 и в табл. 1.


 

Таблица 1

Геометрические размеры расчетных мишеней, мм

Тип

мишени

H

Hб

Нвлл

Ннлл

Нред

B

L

I

1800

300

500

500

250

500

2200

II

2300

800

500

500

250

500

2200

III

2800

1000

650

650

250

500

2200

 

При определении вероятности поражения мише­ни вероятность пробития каждого элемента прини­малась равной либо 0, либо 1. Вероятность пораже­ния в случае попадания в клиренс принималась равной 0.

Возможны следующие разумные сочетания ве­роятностей пробития, характеризующих бронирова­ние танка (табл. 2).

 

Таблица 2

Вероятность пробития

Варианты

брониро­

вания

Лобовая проекция

Бортовая проекция

Башня

Верхний

лобовой

лист

Нижний

лобовой

лист

Башня

Верхний

лист

Нижний

лист

Редан

1

1

1

1

1

1

1

1

2

0

1

1

0

1

1

1

3

0

0

1

0

0

1

1

4

0

0

0

1

 

Таким образом, учитывая, что расчет проведен для трех высот танков, в оценке участвуют 9 вари­антов лобовой проекции и 12 вариантов бортовой проекции. Для каждого варианта определены тремя сравниваемыми способами (без учета экранирования танка местностью, с учетом экранирования ма­тематическим ожиданием высоты экрана и с учетом экранирования распределением высоты экрана) вероятности попадания и поражения на дальностях 500, 1000, 1500, 2000, 3000 и 4000 м для двух значе­ний срединной ошибки стрельбы: 0,3 и 3 тд.

 

Фиг. 2. Расчетная схема мишени.

Фиг. 2. Расчетная схема мишени.

 

В табл. 3 и 4 приведены максимальные значения расчетных абсолютных и относительных погрешно­стей при определении вероятностей попадания и поражения двумя способами: без учета экраниро­вания местностью и с учетом экранирования местностью математическим ожиданием высоты экрана для двух значений срединной ошибки стрельбы: 0,3 и 3 тд относительная погрешность определялась как отношение абсолютной погрешности к значе­нию, определенному с учетом закона распределе­ния высот экрана.

 

 

Таблица 3

Максимальные абсолютные (Δ) и относительные (δ)

погрешности вероятностей попадания

Срединная

ошибка

стрельбы

Метод учета рельефа

Лобовая

проекция

Бортовая

проекция

Δ

δ %

Δ

δ %

0,3 тд

Без экрана

0,13

41

0,17

47

Среднее зна­чение экрана

0,09

17

0,12

50

3 тд

Без экрана

0,02

52

0,04

60

Среднее зна­чение экрана

0,01

20

0,02

87


 

 

Таблица 4

Максимальные абсолютные (Δ) и относительные (δ)

погрешности вероятностей поражения

Срединные

ошибки

стрельбы

Метод учета рельефа

Лобовая

проекция

Бортовая

проекция

Δ

δ %

Δ

δ %

0,3 тд

Без экрана

0,13

134

0,17

530

Среднее зна­чение экрана

0,09

77

0,12

100

3 тд

Без экрана

0,02

202

0,04

400

Среднее зна­чение экрана

0,01

63

0,02

100

 

Следует иметь в виду, что в таб­лицах указаны максимальные значения погрешно­стей, поэтому приведенные значения, соответствую­щие одному и тому же способу учета экранирова­ния одной и той же проекции мишени и одной и той же срединной ошибке стрельбы, могут принадле­жать разным вариантам мишеней и разным дальностям обстрела.

Необходимо также отметить, что знаки погрешностей при учете местности средним значением экрана могут быть как положительные, так и отрицательные, в зависимости от вида диф­ференцирования бронирования по высоте танка.

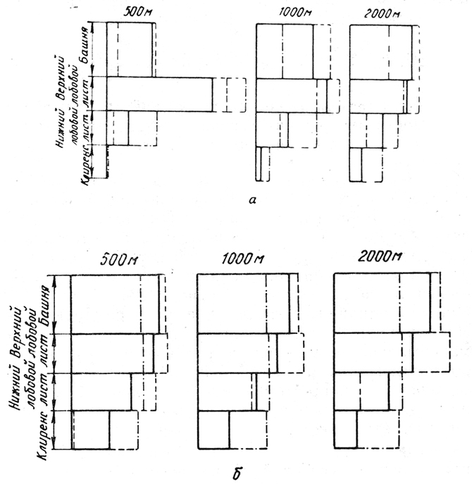
На фиг. 3 приведены гистограммы снарядных попаданий в башню, верхний лобовой лист, нижний лобовой лист и клиренс на дистанциях обстрела 500, 1000 и 2000 м , построенные для трех исследованных способов учета экранирования танка мест­ностью при срединных ошибках стрельбы 0,3 и 3 тд для лобовой проекции мишени высотой 2300 мм .

Гистограммы дают наглядное представление о характере распределения плотностей попаданий по вы­соте танка, полученных расчетом, и о перераспреде­лении этих плотностей при учете рельефа местности различными способами.

Для сравнения на фиг. 4 приведена гистограм­ма снарядных попаданий, суммированных по всем дальностям обстрела, в лобовые детали танка Т-34 по данным Великой Отечественной войны [2]. Сравнение гистограмм показывает, что характер распре­деления попаданий по высоте танка, полученного при учете рельефа местности распределением высот экрана, более близко соответствует закону, полу­ченному на основании опыта Великой Отечествен­ной войны. Относительное увеличение плотности попаданий в верхний лобовой лист на дистанциях 500 и 1000 м при срединной ошибке стрельбы 0,3 тд объясняется малой величиной эллипса рассеивания снарядов.


 

Фиг. 3. Расчетные гистограммы снарядных попаданий в детали лобовой проекции мишени II для дальностей обстрела 500, 1000, 2000 м:
а — при срединных ошибках стрельбы 0,3 тд; 
б — при срединных ошибках стрельбы 3 тд.

Фиг. 3. Расчетные гистограммы снарядных попаданий в детали лобовой проекции мишени II для дальностей обстрела 500, 1000, 2000 м:

а — при срединных ошибках стрельбы 0,3 тд;

б — при срединных ошибках стрельбы 3 тд.

 

Фиг. 4. Гистограмма снарядных попаданий, сум¬мированных по всем дальностям обстрела, в лобовые детали танка Т-34 по данным Великой Отечественной войны

Фиг. 4. Гистограмма снарядных попаданий, суммированных по всем дальностям обстрела, в ло­бовые детали танка Т-34 по данным Великой Отечественной войны


 

Фиг. 3 показывает, что перерасперделение плотностей попаданий по элементам танка в зависимо­сти от способа учета рельефа местности является весьма существенным.

 

Выводы

  1. Экранирование танка местностью является фактором, весьма существенно уменьшающим на ре­альных дистанциях боя вероятности попадания в танк и вероятности его поражения. Для рассмот­ренных схем бронирования и характеристик рельефа местности величины вероятностей попадания могут уменьшится в 1,6 раза, а величины вероятно­стей поражения —в 6,3 раза.
  2. Экранирование ганка местностью при исследовании боевой эффективности танков следует учи­тывать не математическим ожиданием высоты эк­рана, а законом распределения его. Для рассмотренных схем бронирования относительная погрешность (по отношению к значению, полученному с учетом закона распределения) при определении вероятностей попадания достигает 87%, а при опре­делении вероятности поражения— 100%.

 

ЛИТЕРАТУРА

  1. Р. И. Павловский. Исследование факторов, влияющих на дальность видимости и время обнаружения из тан­ка. Диссертация, Академия БТВ, 1964 г .
  2. П. С. Игуменов. Бронирование танков и методи­ка оценки броневой защиты. Академия БТВ, 1959 г .
  3. Влияние экранирующих свойств местности на вероятности попадания в танк и его поражения. Отчет ВНИИТРАНСМАШ, 1967 г .
 





 



ГЛАВНАЯ НА ВООРУЖЕНИИ ПЕРСПЕКТИВНЫЕ
РАЗРАБОТКИ
ОГНЕВАЯ МОЩЬ
ЗАЩИТА ПОДВИЖНОСТЬ 

ЭКСКЛЮЗИВНЫЕ МАТЕРИАЛЫ  БИБЛИОТЕКА ФОТООБЗОРЫ