ГЛАВНАЯ НА ВООРУЖЕНИИ ПЕРСПЕКТИВНЫЕ
РАЗРАБОТКИ
ОГНЕВАЯ МОЩЬ
ЗАЩИТА ПОДВИЖНОСТЬ 

ЭКСКЛЮЗИВНЫЕ МАТЕРИАЛЫ  БИБЛИОТЕКА ФОТООБЗОРЫ
 
 




ЗАТРАТЫ МОЩНОСТИ В ГУСЕНИЧНОМ ДВИЖИТЕЛЕ

Е. И. КОЛКОВ, Ю. Н. BEPEXА, В. Б. ПРОСКУРЯКОВ, А. А. СТАМБРОВСКИП

Вестник бронетанковой техники. 1985. №5

 

Современные ВГМ обладают удельной мощностью, обеспечивающей высокие средние скорости движе­ния. Известно, что затраты мощности в гусеничном движителе с увеличением скорости движения существенно возрастают. Поэтому исследования затрат мощности в гусеничном движителе, их зависимости от конструкции ходовой части и путей снижения потерь являются весьма актуальными. Проанализируем затраты мощности при прямолинейном равномерном движении ВГМ по ровному горизонтальному участку бетонной дороги. Известно [1], что в этом случае мощность в основном расходуется на перематывание гусеницы, качение опорных катков и на преодоление внешнего сопро­тивления. Мощность навалу ведущего колеса Nв.к.можно представить в виде

Nв.к.= Nз + Nг + NкNгр + Nв.

Здесь указаны мощности, затрачиваемые в зацеп­лении, в гусенице, на качение опорных катков, на преодоление сопротивления грунта и воздуха. Рассмотрим эти составляющие и способы их определения. На основе анализа расчетных и экспериментальных исследований авторами приняты за­траты мощности в зацеплении равными 8...10% от мощности, передаваемой ведущим колесом, что обеспечивает достаточную точность для инженерной практики.

Затраты мощности в гусенице состоят из затрат в шарнирах и динамических затрат, связанных со складыванием и разворотом траков в местах изме­нения кривизны обвода, в основном на ведущем и направляющем колесах, а также на первом и по­следнем опорных катках.

Затраты мощности в гусенице определяются по формуле [2]

 

Nг= Nд1 + Nш1 + N2,

 

где Nд1, Nш1 — динамические затраты и затраты в шарнирах при входе на дуговую ветвь, a N2 — на выходе.

 

Здесь Nд1, Nш2 —затраты мощности динамические и в шарнире на выходе с дуговых ветвей гусеницы. Динамические затраты мощности рассчитываются по формулам:

а) для гусениц с последовательным шарниром

(1) (2)

 

б) для гусениц с параллельным шарниром

(3) (4)

 

где Q — погонный вес гусеницы, кН/м;

t — шаг гусеницы с последовательным шарниром, м;

t1, t2 — расстояния между осями соседних шарниров в гусенице с параллельным шарни­ром, м;

Ri — радиусы крайних опорных катков, на­правляющего и ведущего колес, м;

v — скорость движения машины, м/с.

Затраты мощности в резинометаллических шарнирах рассчитываются по формулам:

а) для гусениц с последовательным шарниром

(5)

б) для гусениц с параллельным шарниром

(6) (7)

где С — угловая жесткость шарнира, кН/рад; η — коэффициент гистерезисных потерь. Сопротивление качению катка по гусенице опреде­ляется взаимодействием контактирующих тел, де­формациями шины и трака, трением в подшипни­ках и др. В расчетах затрат мощности на качение опорных катков эти составляющие оцениваются интегрально по формуле [1]:

 

Nк= fк Gкv,                   (8)

где Nк — коэффициент сопротивления качению;

Gк—нагрузка на опорные катки, кН.

Затраты мощности на преодоление внешнего со­противления (бетона и воздуха) рассчитываются так [1]:

 

Nб = fбGкv,                  (9)

Nв = Кfвv3,                  (10)

 

где Nб — коэффициент сопротивления движению по бетонной дороге;

G — вес машины, кН;

К — коэффициент обтекаемости, кН·с24;

f — площадь поперечного сечения, м2.

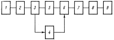
С целью сокращения времени расчетов была раз­работана программа определения затрат мощнос­ти в гусеничном движителе на ЭВМ (рис. 1), ко­торая используется в отраслевой системе автома­тизированного проектирования ВГМ.

 

Рис. 1. Блок-схема алгоритма расчета затрат мощности в гусеничном движителе и на преодоление внешнего сопротивле­ния движению:

1 — ввод исходных данных; 2 — печать исходных данных; 3 — выбор расчетных формул в зависимости от типа шарнира; 4,5 — вычисление динамических затрат и затрат в шарнире гусениц с последовательным и параллельным типом шарнира соответственно; 6 — вычис­ление затрат в гусенице, на качение опорных катков, на преодоле­ние сопротивления грунта; 7 — вычисление затрат в зацеплении, на преодоление сопротивления воздуха, затрат на валу ведущего колеса; 8—печать результатов расчета; 9 — окончание расчета


 

В качестве исходных данных в программе для ЭВМ, кроме веса машин и чертежных размеров, использованы результаты экспериментальных ис­следований (таблица).

 

Некоторые параметры гусеничных движителей сравниваемых танков

 

Машины

Q, кН/м

С, кН·м/рад

η

fк

Т-80

1,32

1,83

0,28

0,024

Т-64А

1,11

1,50

0,20

0,013

Т-72

1,29

0,89

0,20

0,014

 

Предварительное натяжение в гусеничном обводе каждого танка соответствовало требованиям ин­струкций по их эксплуатации. Коэффициенты fк и fб =0,01 приняты по [3] и [1].

Результаты расчета на ЭВМ затрат мощности в гусеничном движителе (рис. 2) были сопоставле­ны с экспериментальными данными, полученны­ми различными методами [4, 5].

 

Рис. 2. Затраты мощности N в гусеничном движителе и на преодоление внешнего сопротивления при движении по бетон¬ной дороге:
а — танка Т-64А; б — танка Т-80; в — танка Т-72;

Рис. 2. Затраты мощности N в гусеничном движителе и на преодоление внешнего сопротивления при движении по бетон­ной дороге:

а — танка Т-64А; б — танка Т-80; в — танка Т-72;

1 — в гусеничном движителе и на преодоление внешнего сопротивления; 2 — на качение опорных катков, в шарнирах, динамические затраты и на преодоление внешнего сопротивления; 3 — на качение опорных кат­ков, в шарнирах и динамические затраты; 4 — на качение опорных катков и в шарнирах; 5 — на качение опорных катков; О, Δ — экспе­риментальные данные, полученные методом выбега и методом топли­вно-экономических характеристик соответственно


 

При сравнении расчетных и экспериментальных данных, полученных методом выбега [4], к последним добавлялись затраты в зацеплении. Сопоставление расчетных и экспериментальных данных, в пределах реализуемых скоростей движения, указывает на достаточную сходимость результатов.

Затраты мощности в гусеничном движителе в за­висимости от скорости изменяются нелинейно (см. рис. 2). Так, например, при скорости до 25 км/ч динамическими затратами можно пренеб­речь, полагая, что в основном мощность расхо­дуется в равной мере на перекатывание опорных катков и в шарнирах гусеницы. При больших ско­ростях существенно возрастают динамические за­траты, становясь равными, а в некоторых конст­рукциях (танк Т-72) и значительно превышая за­траты в шарнирах и опорных катках.

Сравнивая затраты мощности в гусеничных дви­жителях танков Т-72, Т-80 и Т-64А, следует отме­тить, что затраты мощности на перекатывание опорных катков по гусенице существенно разли­чаются. Это объясняется большим сопротивлением качению катков с массивной шиной по обрезиненной беговой дорожке по сравнению с качением катков с внутренней амортизацией по металличе­ской беговой дорожке.

Сравнение максимальной мощности двигателя с затратами в гусеничном движителе при vмах по­казывает, что последние составляют: для танков Т-64А, Т-80 и Т-72 соответственно 41, 50 и 57 %. Анализируя формулы (1) ... (10), следует отме­тить, что затраты мощности в гусеничном движи­теле зависят от погонного веса гусениц, расстоя­ния между осями шарниров, угловой жесткости шарниров, диаметров опорных катков, направляю­щих и ведущих колес, коэффициента сопротивле­ния качению опорных катков по гусенице.

Наиболее эффективным для снижения затрат мощности является уменьшение погонного веса гусениц, расстояния между осями шарниров и ко­эффициента сопротивления качению опорных катков по гусенице.


Пользуясь приведенной методикой расчета, можно сравнивать гусеничные движители по затратам мощности (рис. 3). Линейные зависимости I и II (см. рис. 3) получены обработкой результатов расчета методом наименьших квадратов.

 

Рис. 3. Затраты мощности N в гусеничном движителе и на преодбление внешнего сопротивления при движении по бе¬тонной дороге отечественных и зарубежных машин различ¬ной массы:
I и II — при скорости движения 60 и 30 км/ч соответственно; 1 — БМП-1; 2 — опытная БМП; 3 — БМП «Мардер»; 4 — Т-55; 5 — Т-64 А; 6 — Т-72; 7 — «Леопард-1»; 8 — Т-80; 9 — «Леопард-2»

 

Рис. 3. Затраты мощности N в гусеничном движителе и на преодоление внешнего сопротивления при движении по бе­тонной дороге отечественных и зарубежных машин различ­ной массы:

I и II — при скорости движения 60 и 30 км/ч соответственно; 1 — БМП-1; 2 — опытная БМП; 3 — БМП «Мардер»; 4 — Т-55; 5 — Т-64 А; 6 — Т-72; 7 — «Леопард-1»; 8 — Т-80; 9 — «Леопард-2»

 

Вывод. Затраты мощности в гусеничном движи­теле с увеличением скорости изменяются нелиней­но и при максимальной скорости могут достигать 50 % максимальной мощности двигателя. Их можно снизить за счет уменьшения: погонного веса гу­сениц, расстояния между осями шарниров, коэффициента сопротивления качению опорных катков по гусенице.


 

СПИСОК ЛИТЕРАТУРЫ

  1. Сергеев Л. В. Теория танка. ВАБТВ им. Р. Я. Малиновского, 1973, — 493 с.
  2. Колков Е. И., Проскуряков В. Б. Расчет затрат мощности в гусеничном обводе танка. — Вестник бронетанковой техники, 1981, № 3.
  3. Софиян А. П., Мазур А. И., Варчев В. А. Сопротивление качению обрезиненных опорных катков по гусенице. — Там же, 1978, No 5.
  4. Bepexa Ю. H., Корнилов A. H., Лебедев Е. А. Метод экспериментальной оценки тяговых, тормозных качеств танка и составляющих мощностного баланса. — Вопросы оборонной техники. Сер. XX, 1981, вып. 95.
  5. Калинина-Иванова Е. В. Определение коэффициента потерь мощности в ходовой части танка. — Вестник бронетан­ковой техники, 1980, № 2.
 





 



ГЛАВНАЯ НА ВООРУЖЕНИИ ПЕРСПЕКТИВНЫЕ
РАЗРАБОТКИ
ОГНЕВАЯ МОЩЬ
ЗАЩИТА ПОДВИЖНОСТЬ 

ЭКСКЛЮЗИВНЫЕ МАТЕРИАЛЫ  БИБЛИОТЕКА ФОТООБЗОРЫ