ГЛАВНАЯ НА ВООРУЖЕНИИ ПЕРСПЕКТИВНЫЕ
РАЗРАБОТКИ
ОГНЕВАЯ МОЩЬ
ЗАЩИТА ПОДВИЖНОСТЬ 

ЭКСКЛЮЗИВНЫЕ МАТЕРИАЛЫ  БИБЛИОТЕКА ФОТООБЗОРЫ
 
 




РАСЧЕТ ВЗАИМОДЕЙСТВИЯ БРОНЕБОЙНОГО ПОДКАЛИБЕРНОГО СНАРЯДА С ПРЕГРАДОЙ, ВКЛЮЧАЮЩЕЙ ДИНАМИЧЕСКУЮ ЗАЩИТУ

Е. В. КИРЮЩЕНКО, А. И. ПЛАТОВ, Д. A. POTOTAEB

Вестник бронетанковой техники. 1990. № 3.

 

Рассмотрен процесс взаимодействия БПС с преградой, оснащенной динамической защитой (ДЗ). Методика позволяет оценить особенности движения снаряда при взаимодействии с ДЗ и рассчитать глубину его внедрения в основную преграду. По­лучен критерий, характеризующий взаимосвязь параметров, метаемой взрывом плас­тины и позволяющий подойти к выбору рациональных параметров ДЗ.

Современные зарубежные бронебойные подкалиберные снаряды (БПС) из тяжелых сплавов (вольфрам и обедненный уран) характеризуются значительным удлинением (15...20 диаметров сер­дечника), высокой начальной скоростью (1650 м/с) и ее потерей не более 100. . .120 м/с на дистанции 2000 м . Такие снаряды пробивают монолитную стальную броню толщиной 300 мм под углом встре­чи 60°. Для усиления брони используют динамиче­скую защиту (ДЗ) с зарядом ВВ. Необходим рас­четный метод, позволяющий оценить влияние ДЗ на движение снаряда и глубину остаточного внед­рения в основную броню.

Инженерный метод [1] позволяет учесть влия­ние параметров ДЗ на кинематику снаряда: угло­вую скорость вращения, угол атаки, потерю ско­рости, а также изменение длины корпуса БПС. При допущении недеформируемости снаряда пере­ходим к процессу внедрения его в броню.

Используя результаты [2, 3], можно рассчи­тать глубину проникания БПС. При этом необхо­димо учитывать взаимодействие боковой поверхно­сти снаряда с каверной. Здесь может быть исполь­зован подход, изложенный в [4]. Проверяется кон­такт снаряда с каверной, линия каверны коррек­тируется в тех точках, где ее пересекает линия БПС. Площадь контакта и усилие, действующее на корпус БПС, определяются по [2].

Наряду с допущением о недеформируемости снаряда, примем, что это гладкий цилиндрический стержень с полусферической головной частью. Ос­новную преграду представим в виде монолитной стальной плиты.

На этой основе была разработана программа для ЭВМ. Производится численное решение си­стемы дифференциальных уравнений движения БПС под действием пластин ДЗ и образуемой ка­верны. С шагом 2 мке суммируются нагрузки со стороны каждой пластины и основной преграды, определяется главный вектор и главный момент сил, используемых затем при решении уравнений. Результаты расчета выводятся в печать. Одновре­менно они выводятся на экран дисплея или гра­фопостроитель с изображением БПС, пластин, ос­новной преграды и каверны в каждый текущий момент.

 

Проведены расчеты трех вариантов ДЗ (рис. 1).

I вариант:

15 мм сталь + 20 мм воздух + 2 мм сталь + 6 мм заряд ВВ + 2 мм сталь + 2 мм сталь

+ 6 мм заряд BB + 100 мм сталь.

II вариант:     15 мм сталь + 6 мм заряд BB + 100 мм сталь.

III вариант:    20 мм сталь + 6 мм заряд BB + 100 мм сталь.

Угол встречи БПС с преградой составлял 68°.

 

Размеры и прочность снаряда принимались близ­кими к характеристикам БПС ЗБМ22: начальная скорость 1700 м/с; плотность заряда BB 1 550 кг/м3; скорость детонации 7500 м/с; размеры 200×500 мм.

 

Варианты взаимодействия БПС с преградами, осна¬щенными ДЗ:

Рис. 1. Варианты взаимодействия БПС с преградами, осна­щенными ДЗ:

а, б, в — результаты расчета по I, II и III вариантам: 1 — остаток снаряда в конце расчета; 2 — основная преграда; 3, 4 — метаемые взрывом пластины (на рис. 1. б и в не показаны)

 

В I варианте после детонации BB происходит метание пластин толщиной 2 мм в лицевой 15-мм лист. После удара начинается движение этого ли­ста. Его скорость рассчитывается по закону сохра­нения импульса. Лицевой лист входит в контакт с поверхностью снаряда после того, как пройдет расстояние, соответствующее зазору между боко­вой поверхностью БПС и краем каверны в пла­стине. К этому моменту часть снаряда проходит тыльную поверхность лицевой пластины и, как по­казывает расчет, начинает внедряться в основную преграду. Удар лицевого листа приходится в об­ласть центра масс снаряда. Область контакта пе­ремещается затем далее, за центр масс. Это при­водит к росту угловой скорости БПС в направле­нии, перпендикулярном к преграде. Воздействие лицевой и тонких пластин обуславливает появле­ние вертикальной составляющей (примерно до 45 м/с), которая увеличивается по мере внедрения снаряда. Пройдя эти пластины, головная часть по­падает в глубинные слои преграды, при условии среза пробки образуется сквозное отверстие.

Не­сколько удлиненный вид каверны (см. рис. 1, а) в основной преграде свидетельствует о нарушении кинематики движения БПС в результате взаимо­действия с ДЗ. Путь снаряда в преграде увеличил­ся. Однако действие ДЗ оказывается недостаточным для защиты основной преграды.

Во II варианте (см. рис. 1, б) лицевая пластина входит во взаимодействие с БПС практически до начала внедрения его в основную преграду. При этом возникает денормализующий момент, который увеличивается, когда головная часть БПС взаимодействует с лицевыми слоями преграды. Это приводит к росту угловой скорости и повороту снаряда под острым углом к преграде. Постепенно снаряд поворачивается почти параллельно прегра­де. Далее происходит срез пробки, несмотря на более интенсивное, чем в первом случае, воздейст­вие метаемой пластины на БПС.

Можно увеличить время воздействия пласти­ны, как и усилие, воздействующее на снаряд. Это достигается увеличением ее толщины. Возрастает площадь контакта пластины с поверхностью сна ряда и вследствие уменьшения скорости метания пластины возрастает время скольжения ее вдоль боковой поверхности БПС.

Наблюдается интенсивный рост угловой скоро­сти и рост вертикальной составляющей, величины которой к моменту, показанному на рис. 1, в, составляет 322 м/с (горизонтальная составляющая равна 682 м/с). Происходит денормализация и, в конечном счете, рикошет снаряда от основной пре грады. Угол разворота БПС составляет 47° от первоначального положения, глубина внедрения в основную преграду (максимальная глубина каверны) — 48 мм по нормали к плоскости преграды.

Расчеты показали, что конструктивные пара метры ДЗ определяют характер внедрения БПС в основную преграду и, следовательно, защищающую способность ДЗ. Опытные данные в основном подтверждают этот расчет (таблица).

Расчет также правильно отражает общую тенденцию увеличения глубины внедрения с увеличением искусственно задаваемого времени задержки детонации и начальной скорости БПС. С увели­чением задержки и начальной скорости уменьшается время воздействия пластин на БПС и время взаимодействия его головной части с лицевыми слоями основной преграды. Таким образом, нарушение кинематики движения БПС проявляется меньшей степени.

Такое совпадение показывает, что допущение неразрушаемости снаряда справедливо для оценки преград. Можно также предположить, что в данных условиях взаимодействия стальные БПС мене чем другие (из вольфрамового и уранового сплава), подвержены разрушающему воздействию метаемых взрывом пластин. Так, динамический предел текучести снарядной стали можно принят ~2,2 ГПа, сплава на основе вольфрама — 1,4 ГПа сплава на основе обедненного урана — 1,5 ГПа

 

Характеристики внедрения БПС ЗБМ22 в основную преграду (α = 68°)

 

Преграда

Задержка детонации BB, мкс

Удар­ная

ско­рость

БПС,

м/с

Расстояние от

нижнего торца

плас­тины до

места

попа­дания БПС,

мм

Глубина внедрения

БПС, мм

опыт­ная

рас­чет­ная

15 мм сталь +

+ 6 мм BB + бронеплита

28

28

77

1550

1580

1600

294

163

154

40

70

70

49

68

80

15 мм сталь +

+ 12 мм ВВ + бронеплита

0

29

98

1580

1670

1670

267

307

387

60

65

80

50

69

85

15 мм сталь +-

+ 20 мм воздух +

+ 2 мм сталь+ + 6 мм ВВ+ 2 мм сталь+ 2 мм сталь + 6 мм BB + бронеплита

4

8

26

1580

1440

1675

153

213

243

40

15

60

50

33

70

15 мм сталь + + 20 мм воздух + + 2 мм сталь + + 6 мм ВВ + бронеплита

0

1670

143

80

85

 

Для проверки данного предположения рассмот­рим зависимость глубины внедрения hr БПС от толщины пластины δп (рис. 2). Пластина метается с основной стальной преграды ( 250 мм ) зарядом BB ( 6 мм ). Начальная скорость БПС 1630 м/с. Массогабаритные и физико-механические парамет­ры приняты близкими к параметрам БПС ДМ13 (ФРГ), содержащего 400-мм стержень из сплава ВНЖ в стальном корпусе.

Расчетная зависимость hr = f(δп) качественно совпадает с результатами экспериментальных ис­следований, изложенных в работе [5], где опреде­лялось влияние угла атаки. Угол атаки, увеличива­ет асимметрию сил и существенно влияет на бронепробивную способность. При значениях δп <2÷4 мм наблюдается заметное уменьшение величины hr. Это объясняется тем, что тонкая пластина, имея высокую скорость движения (1 200...1 500 м/с), быстро выходит из взаимодействия с БПС и воз­действует на него лишь па участке, предшествую­щем центру масс. В результате создается денорма­лизующий момент, который увеличивается при вне­дрении БПС в лицевые слои преграды.

С увеличением толщины пластины δп >10мм (при α =68°) и 6 δп >15÷17 мм (при а=60°) на­блюдается резкое уменьшение значений hr, что обу­словлено возрастанием вертикальной составляю­щей скорости БПС. В дальнейшем, как и в работе [5], кривые (см. рис. 2) становятся пологими. Это обусловлено тем, что нарушение кинематики превышает предел, после которого действие снаряда сводится к образованию удлиненной каверны. Оди­наковый характер кривых 1 и экспериментальных данных [5] предполагает одинаковую природу воз­действия БПС и удлиненного стержня.

Экспериментальные кривые 2, полученные в аналогичных расчету условиях путем обстрела пре­грады с ДЗ тяжелосплавным снарядом с характе­ристиками, близкими к приведенным выше, существенно расходятся с расчетными значениями hr.

 

Зависимость глубины внедрения hr БПС в основную преграду от толщины δп метаемой пластины:

Pис. 2. Зависимость глубины внедрения hr БПС в основную преграду от толщины δп метаемой пластины:

а — α — 68° б — α = 60°; 1, 2 — результаты расчета и эксперимента:

3 — разность между кривыми 1 и 2; штриховые линии — разброс опытных данных

 

С увеличением δп наблюдается резкое падение hr, затем при некотором значении δп эксперименталь­ные значения hr практически не меняются. Расчет­ные и экспериментальные кривые сближаются. Это связано с разрушением БПС при воздействии мета­емых взрывом пластин. Вычитая эксперименталь­ные значения hr из расчетных, можно оценить ве­личину расхождения hр расчетных и эксперимен­тальных значений (кривые 3 на рис. 2, а и б). При α = 68° и 60° они имеют одинаковый характер. С увеличением δп влияние разрушения снаряда на глубину hr возрастает. При определенных значе­ниях δп величина hр начинает уменьшаться. Это оз­начает, что нарушение кинематики БПС снижает бронепробивную способность до более низкого уровня, независимо от того, разрушается снаряд или нет. Экспериментальные и расчетные кривые hг = f(δп)  сближаются.

Кривые hр = f(δп) хорошо описываются соотно­шением

 

hр = 0,001(σт.п/ σт.с) exp (bδп + cδп2)

 

где σт.п, σт.сдинамический предел текучести ма­териалов пластин и БПС;

 

b = 7,04·10-15α11,8 exp (– 0,117 α)

c = 2,5·10-17α12,8 exp (– 0,76 α)

 

Функция hр = f(δп) имеет экстремум при δп0 = – b/2с. Значение δп0 соответствует той толщине метаемой пластины, при которой кривая hг = f(δп)  «насыщается». При δп > δп0 значения hг изменяют­ся незначительно и дальнейшее увеличение толщи­ны пластины оказывается нецелесообразным.

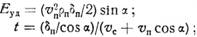
Эффективность динамической защиты Y, опре­деляемая как разность между бронепробивной спо­собностью и глубиной hг, пропорциональна удель­ной энергии пластины Eуд в направлении, совпада­ющем с направлением вертикальной составляющей ее скорости, и времени t контакта пластины и БПС:

Y Eуд t

Где

ρп - плотность материала пластины;

vп, vс — скорость пластины и снаряда.

Далее имеем

Обозначим правую часть этой формулы через мю  и построим зависимость hг = f( мю )

 (рис. 3).

 

Рис. 3. Зависимости глубины внедрения hг от  . для различ¬ных углов встречи α

Рис. 3. Зависимости глубины внедрения hг от мю . для различ­ных углов встречи α

 

Для разных значений α кривые hг = f( мю ) имеют одина­ковый характер, а «насыщение» их происходит при постоянном для всех условий значении (306...310 кг/с). Размерность мю  указывает на расход пластины в единицу времени, т. е. массу, перемещаемую в направлении, поперечном оси Б.

Таким образом, увеличение параметра мю > мю 0 = 310 кг/с не приводит к резкому уменьшению  значений hг. При этом данному значению мю = мю 0 соответствуют значения δп=δп0, что видно из сравнения зависимостей на рис. 2 и 3. Такое соответствует позволяет подойти к выбору рациональных параметров пластины, т. е. ее материала, толщины, скорости метания в конкретных условиях взаимодействия.

Введя соотношение σт.пт.с получим эффективную толщину:

 

 

Зависимость необходимой для эффективно воздействия на БПС толщины пластины δп0 от скорости ее метания позволяет построить номограмму для различных толщин заряда BB δw и углов α (рис. 4).

 

Зависимость необходимой толщины пластины δп0 от скорости  vп, для различных углов α и зависимость скорости метания пластины от ее толщины при различных толщинах заряда BB δw:

Рис. 4. Зависимость необходимой толщины пластины δп0 от скорости  vп, для различных углов α и зависимость скорости метания пластины от ее толщины при различных толщинах заряда BB δw:

 

Для эффективного воздействия снаряд под углом встречи 68° и δw = 6 мм величина δп0 составляет 10...12 мм, при этом расчетная скорость метания пластины равна 750 м/с. С увеличением толщины заряда BB экстремум функции hр = f(δп) (см. рис. 2) смещается влево. Уменьшение угла встречи а приводит к увеличению δп0. При δw = 12 мм (рис. 5) получается такой же эффект как при δw = 10 мм и δw = 6 мм .

Результаты расчета хорошо соответствуют экспериментальным данным для различных условиях взаимодействия. Минимальная глубина внедрения БПС в основную преграду практически не изменяется при δп > δп0. Сопоставление данных на рис. 2…5 показывает, что при фиксированном значении увеличение δw не дает повышения защищающей способности ДЗ.

 

Рис. 5. Сравнение расчетных зависимостей hг = f(δп) с экспери¬ментальными
 данными при δw = l2 мм:
1, 2—при α = 60 и 68 ; штриховые линии — разброс опытных данных

Рис. 5. Сравнение расчетных зависимостей hг = f(δп) с экспери­ментальными

 данными при δw = l2 мм:

1, 2—при α = 60 и 68 ; штриховые линии — разброс опытных данных

 

Несмотря на то что больший заряд BB повыша­ет скорость метания пластины, время взаимодейст­вия пластины с БПС уменьшается, пластина быст­рее выходит из взаимодействия и нарушение кине­матики движения БПС сказывается в меньшей степени. С увеличением защищающая способность ДЗ практически не изменяется.

Таким образом, снижение бронепробиваемости БПС при взаимодействии с ДЗ обусловлено нару­шением кинематики его движения и разрушением его корпуса.

Нарушение кинематики движения — приобретение угловой скорости вращения, верти­кальной составляющей скорости БПС и, как след­ствие, разворот его корпуса — в конечном счете приводит к образованию угла атаки, изменяющему­ся в процессе взаимодействия и вызывающему снижение глубины внедрения БПС в основную прегра­ду.

Влияние разрушения БПС на его бронепробив­ную способность возрастает с увеличением толщи­ны пластины, метаемой на БПС и, при выполнении условия δп δп0 остается практически постоянным. Полученный критерий мю > мю 0  позволяет рациональ­но подойти к выбору параметров ДЗ, при которых обеспечивается эффективное воздействие на БПС и превышение которых не приводит к существенно­му увеличению защищающей способности ДЗ. При увеличении толщины и скорости метаемой взрывом заряда BB пластины эффект ДЗ резко растет, за­тем при достижении некоторых значений ее защи­щающая способность практически не меняется.

 

Вывод. Предлагаемая методика расчета вза­имодействия бронебойного подкалиберного снаря­да с преградой, включающей динамическую защиту, позволяет выбрать рациональную толщину за­ряда BB динамической защиты от бронебойного подкалиберного снаряда.


 

СПИСОК ЛИТЕРАТУРЫ

  1. Кирющенко Е. В. и др. Расчет взаимодействия удли­ненного снаряда с преградой, содержащей заряд взрывчато­го вещества // Вестник бронетанковой техники. 1989. № 11.
  2. Алексеевский В. П. К вопросу о проникании стержня в преграду с большой скоростью // Физика горения н взры­ва. 1966. As 2. С. 99—106.
  3. Ячник О. Е. и др. Инженерная методика расчета вза­имодействия снаряда срабатывающегося типа с преградой конечной толщины под углом // Газодинамические и импуль­сные устройства: Тезисы докладов межотраслевого семинара по проектированию систем. М.: ЦНИИНТИ, 1982. С. 36—37.
  4. Ломов С. В. Расчет взаимодействия бронебойного подкалиберного снаряда с броней при наличии угла атаки // Вестник бронетанковой техники. 1988. № 4. С. 43—47.
  5. Литвинов В. К., Козлов В. С. Влияние угла атаки на проникающую способность удлиненных поражающих эле­ментов // Боеприпасы. 1984. № 12. С. 15—18.

 

 





 



ГЛАВНАЯ НА ВООРУЖЕНИИ ПЕРСПЕКТИВНЫЕ
РАЗРАБОТКИ
ОГНЕВАЯ МОЩЬ
ЗАЩИТА ПОДВИЖНОСТЬ 

ЭКСКЛЮЗИВНЫЕ МАТЕРИАЛЫ  БИБЛИОТЕКА ФОТООБЗОРЫ